
Armoire de compensation de puissance réactive basse-tension
✅Améliorez le facteur de puissance et réduisez les coûts d'électricité
✅Réduire les pertes de ligne et de transformateur pour l'efficacité énergétique
✅ Libérez la capacité d'alimentation et augmentez la capacité de charge.
✅ Stabilise la tension du système et améliore la qualité de l'alimentation.
✅Améliorez l'efficacité et la durée de vie des équipements électriques
- Présentation du produit
L'armoire de compensation de puissance réactive basse-est un appareil électrique installé dans les réseaux de distribution basse-tension (généralement 400 V ou 380 V). Sa fonction principale est de fournir une compensation de puissance réactive, dans le but d'améliorer le facteur de puissance du système électrique, d'améliorer la qualité de l'énergie, de réduire les pertes en ligne et d'augmenter la capacité du transformateur.
Principaux composants
| Composant | Fonction |
|---|---|
| Banques de condensateurs | Fournir une puissance réactive capacitive pour compenser les charges inductives (moteurs, transformateurs). |
| Appareils de commutation |
- Contacteurs :-rentables, adaptés aux charges stables. - Switch hybride : commutation rapide, sans appel-et longue durée de vie. |
| Contrôleur intelligent | Surveille le facteur de puissance/courant réactif en temps réel et contrôle la commutation des condensateurs (facteur de puissance cible généralement fixé à 0,95). |
| Réacteurs | Connecté en série avec des condensateurs pour supprimer les harmoniques (par exemple, 5ème, 7ème) et empêcher la résonance (généralement 6 % ou 7 % de réactance). |
| Dispositifs de protection | Protection contre les surtensions, les sous-tensions, les surintensités et la température ; fusibles ou disjoncteurs. |
| Boîtier et refroidissement | Indice de protection (par exemple IP30), ventilateurs de refroidissement ou évents pour un fonctionnement stable à haute température. |
Conditions d'utilisation
● Température ambiante : -5 degrés ~ +40 degrés
● Humidité relative de l'environnement : pas plus de 90 % (à 20 degrés)
● Altitude : pas plus de 2 000 m
● Le milieu environnant doit être non-explosif, ne contenir aucun gaz susceptible d'endommager ou de corroder le métal, aucune poussière conductrice, ne doit pas être soumis à de fortes vibrations et être exempt d'érosion par la pluie et la neige.
S'il vous plaîtContactez-noussi conditions particulières, exigence personnalisée disponible
Notre type d'armoire
| Taper | Caractéristiques | Applications |
|---|---|---|
| Compensation statique | Groupes de condensateurs fixes, réponse lente (secondes), faible coût. | Charges stables (par exemple, éclairage, CVC). |
| Rémunération dynamique | Commutation rapide basée sur un thyristor-(10 à 20 ms), prend en charge la compensation par phase-. | Charges fluctuantes (par exemple, soudeurs, laminoirs). |
| Rémunération hybride | Combine statique et dynamique pour un équilibre entre les coûts et les performances. | Scénarios de charge mixtes. |
| Rémunération du filtre | Comprend des réacteurs pour supprimer les harmoniques tout en compensant la puissance réactive. | Environnements harmoniques élevés (par exemple, VFD, redresseurs). |
Remarque : choisissez l'armoire en fonction de vos scénarios d'application, nous pouvons vous fournir de nombreux types de solutions. Haute efficacité, stable et économique est notre objectif principal.
Utilisation générale : série TSC (thyristor-commuté) pour la plupart des applications industrielles.
Environnements-harmoniques élevés : armoires de filtration FC + réacteur
Compensation de précision : armoires hybrides SVG + condensateur (rapides, en continu, mais coûteuses).
Directives de sélection
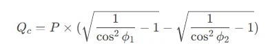
● Calcul de la capacité
Basé sur la demande de puissance réactive de la charge ou sur les données historiques du facteur de puissance :

(où cosϕ1 est le facteur de puissance actuel, cosϕ2 est la cible).
Problèmes courants et solutions
| Problème | Cause première | Solution |
|---|---|---|
| Gonflement/explosion du condensateur | Surtension, harmoniques excessives, température élevée. | Installer des réacteurs, améliorer le refroidissement. |
| Dysfonctionnement du contrôleur | Erreurs d'échantillonnage du signal, paramètres incorrects. | Vérifiez le câblage CT/PT, recalibrez les paramètres. |
| Mauvaise rémunération | Capacité insuffisante, fluctuations rapides de charge. | Ajoutez des modules dynamiques ou améliorez la capacité. |
We should Clean dust, tighten terminals regularly every month.Measure capacitance (replace if degradation >10%), tester les dispositifs de protection.
Les condensateurs durent environ 5 à 10 ans (en fonction des cycles de commutation et de la température).
S'il vous plaîtContactez-nouspour plus de directions
Scénarios d'application
● Usines de fabrication (emboutissage, soudage, transformation de machines-outils)
● Industries métallurgiques, chimiques, matériaux de construction
● Bâtiments commerciaux (climatisation centrale, pompes à eau, ascenseurs)
● Hôpitaux, écoles, centres de données
● Centrales électriques à énergies renouvelables (points de connexion au réseau pour l'énergie photovoltaïque et éolienne)

étiquette à chaud: armoire de compensation de puissance réactive basse tension-, Chine fabricants d'armoires de compensation de puissance réactive basse tension-, fournisseurs, usine
Vous pourriez aussi aimer








